The Untruth About Unjunked Unreal Candy Bars

Have you heard about Unreal® candy bars? They “unjunked™” popular candy bars to make them “without the corn syrup, the artificial ingredients, the partially hydrogenated oils, and … with less sugar.” I had heard of them but had never seen them until they were offered as a snack at a conference I attended a few weeks ago.

Candy is still candy, so it wasn’t the healthiest snack, but I was interested in trying it.

I expected to see some “hype” on the label, but I was surprised when I saw this:

 

No chemicals? Really?

I joked to myself that it would have to be just air, but then realized that even air is a mixture of chemicals (mostly nitrogen and oxygen). I am sure they mean to highlight the absence of “artificial” ingredients, but as a person with a degree in Chemistry, I am frustrated by marketing schemes that play on unfounded fears of “chemicals.”

As I was reading up on Unreal® products, I noticed that their website proclaims that they add “protein and fiber from real food.” Does it take a degree in Chemistry to know that chemical processes were involved in extracting that “protein and fiber” from whatever “real food” it came from?

So, what are the ingredients in these Unreal® peanut butter cups?

MILK CHOCOLATE (CANE SUGAR, CHOCOLATE, COCOA BUTTER, MILK POWDER, ORGANIC BLUE AGAVE INULIN, SKIM MILK POWDER, SOY LECITHIN, VANILLA EXTRACT), PEANUT BUTTER (DRY ROASTED PEANUTS, ICING SUGAR, PALM KERNAL OIL, SALT), CANE SUGAR, ORGANIC PALM KERNAL OIL, PEANUT FLOUR, ORGANIC BLUE AGAVE INULIN, WHEY PROTEIN ISOLATE, SALT, SOY LECITHIN.

Sounds like chemicals to me!

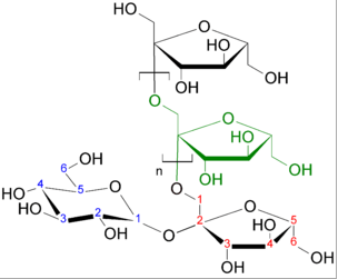
This is the chemical structure of inulin, a carbohydrate classified as a dietary fiber :

inulin

(Source: Wikipedia)

Lecithin is a fatty mixture of components including phosphoric acid, choline, fatty acids, glycerol, glycolipids, triglycerides,and phospholipids. This is the chemical structure of a phosphatidylcholine:

lecitihn

 (Source: Wikipedia)

Sorry Unreal®, your candy bars do contain chemicals, but that’s OK with me, since I know that all food is made up of chemicals. 😉

Have you tried any Unreal® candy bars? 

Are you a skeptical label reader?

This entry was posted in Food and tagged , . Bookmark the permalink.

5 Responses to The Untruth About Unjunked Unreal Candy Bars

  1. MIZ says:

    I SO SO AGREE.
    My child likes the UNJUNKED stuff but I completely treat it the same way I treat snickers etc.
    Unless it’s found in nature–it’s still kinda “junk” in my eyes.
    And theres nothing wrong with that 🙂 but Im honest with myself and my family.

  2. I jumped on the Unjunked train and appreciate the eye opening chemical lesson. My family prefers the “Junked” version of candy, and I do still consider the unjunked version candy. I know if I buy it, I’m the one whose going to eat it, so I try not to.

  3. Steena says:

    I’ve not heard of these bars, lol, But I think you ruined them for me! haha, you put a lot of thought into the chemical part. I get frustrated at certain words that the people in the marketing world use too.

  4. Maite says:

    Nothing beats good old dark chocolate!

  5. It’s very effortless to find out any topic on net as compared
    to textbooks, as I found this article at this web site.

Comments are closed.